找答案
考试指南
试卷
请在
下方输入
要搜索的题目:
搜 索
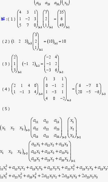
(5)(x1x2x3)a12a2a2x23a3
(5)(x1x2x3)a12a2a2x23a3
发布时间:
2025-05-20 02:33:44
首页
食品安全员
推荐参考答案
(
由 快搜搜题库 官方老师解答 )
联系客服
答案:
相关试题
1.
(5)(x1x2x3)a12a2a2x23a3
2.
X1X2X3=010 B. X1X2X3 = 000 C. X1X2X3 =101 D. X1X2X3 = 001
3.
(5 5 5 5=20分)
A. @5,5 B. 5》5 C. 5,5 D. 5<5">
4.
【单选题】要指定一个绝对位置 5 , 5 的点,应该输入: () @5 , 5 5 》 5 5 , 5 5<5< span=""> A. @5,5 B. 5》5 C. 5,5 D. 5<5
5.
25(-5)=( ),(-)25(-5)=( ), (-5)=( ),-(-5)=( )。
6.
5^2 5^3=5^5
7.
0.05 mA=______μA=______A: 5/5×10 -5|50/5×10 -5|5×10 2/5×10 -3|5×10 3/5×10 -5
8.
Баллы начисляются только за полностью правильный ответ (5 баллов). а) ложка, б) свой, в) триста, г) рассматривать
9.
spm=a2hcb.profile.app.5~5!2~5~5!3~5!2~5~5!2~5!
10.
spm=a2hcb.profile.app.5~5!2~5~5!3~5!2~5~5~A
热门标签
上机题库
司考题库
公文写作题库
行测常识题库
国企笔试题库
医院招聘考试题库
城管考试题库
小学考试题库
银行柜员考试题库
教师资格证考试题库
医院考试题库
南方电网考试题库
行政职业能力测验题库
无领导小组题库及答案
资料分析题库
中国银行考试题库
北京题库
辅警题库
公务员法题库
教师资格考试题库