请在 下方输入 要搜索的题目:

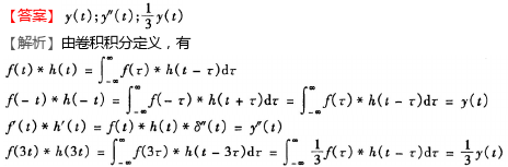
3.已知y(t) =f()* h() =f(r)h(t- r)d则f(-1)h(-t"(t)*h(t)=f(3:)h(3t)=果请用y(t)表示

3.已知y(t) =f()* h() =f(r)h(t- r)d则f(-1)h(-t"(t)*h(t)=f(3:)h(3t)=果请用y(t)表示

发布时间:2025-12-11 07:55:51
推荐参考答案 ( 由 快搜搜题库 官方老师解答 )
联系客服
答案:
专业技术学习
专业技术学习
搜搜题库系统