找答案
考试指南
试卷
请在
下方输入
要搜索的题目:
搜 索
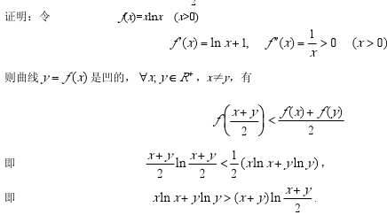
(3) xin r yin y> ( y)In (r> 0,y>0,r
(3) xin r yin y> ( y)In (r> 0,y>0,r
发布时间:
2026-02-04 05:25:55
首页
司法考试
推荐参考答案
(
由 快搜搜题库 官方老师解答 )
联系客服
答案:
相关试题
1.
(3) xin r yin y> ( y)In (r> 0,y>0,r
2.
记变量X与Y的相关系数为r,则A、r越小,表示X与Y的线性相关越弱B、若r=0,两变量无任何关系C、r>0,X增大,Y也增大D、r>0,X减小,Y增大E、r<0,X减小,Y增大
3.
设A={0,1,2,3,4},R={
|xA,yA且x y<0},S={
|xA,yA且x y≤3},试求R,S,RS,R-1,S-1,r(R),s(R),t(R),r(S),s(S),
4.
y r yT V y r
5.
()x'- yin y=0
6.
1xy- yin y= 0
7.
()xy'- yin y=0
8.
A|.f(r y)dBf(r, y)dA、dB、(r v)drC、[ dy f(x, y)dx
9.
(3) A= P(r)i @(y)j R(z)k
10.
(3) A= P(r)i @(y)j R(z)k
热门标签
综合素质考试题库及答案
公共基础知识题库
银行招聘考试题库
高校教师资格证考试题库
行测题库
银行考试题库
题库搜题
国考行测题库
申论题库及答案
常识知识题库
计算机专业知识题库
行测资料分析题库
考公题库
工会考试题库
计算机知识题库
烟草考试题库
中国农业银行笔试题库
医院招聘考试题库
资料分析题库
教师资格证考试题库