找答案
考试指南
试卷
请在
下方输入
要搜索的题目:
搜 索
(1) x=2 sin(at
(1) x=2 sin(at
发布时间:
2025-09-12 16:11:04
首页
注册建筑师
推荐参考答案
(
由 快搜搜题库 官方老师解答 )
联系客服
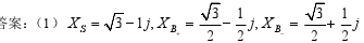
答案:
相关试题
1.
(1) x=2 sin(at
2.
设sinα=sinθ cosθ,sinA、sin 2 α=1 sin 2 βB、sin 2 α=1 2sin 2 βC、sin 2 α=1-sin 2 βD、sin 2 α=1-2sin 2 β
3.
sin x( 1 cos x
4.
函数f(x) = sin^2(x) - cos^2(x)在区间[0, π/2]上的最小值为:A、-1B、-1/2C、spanD、1
5.
решите уравнение sin x =x-0,5 1;3 точность выбираем сами
6.
clearsyms xint(sin(x)^2*cos(x)^2,x,0,pi/2)
7.
∫∫sin(x^2+y^2)dxdy
8.
三角函数的性质题目:已知三角函数sin(x) = 1/2,求x的值。
9.
∫_0^(π/2)▒〖cosx 〖sin〗^3x 〗 dx= ( )
10.
Вычислите значение функции:y=a*x b*sin* (2x 2) код пайтон
热门标签
面试题题库
小学语文面试真题题库
法律常识题库
注册税务师题库
事业编题库及答案
公考题库
事业单位综合知识题库
教师招聘考试题库
军队文职考试题库
无领导小组题库及答案
判断推理题库
法律基础知识题库
银行高管题库
公共基础题库
党政知识题库
社会工作者考试题库
小学教师资格证题库
招聘题库
教师面试题库
银行从业考试题库