请在 下方输入 要搜索的题目:

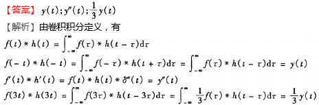
55.已知y(t)=(t)* h(t)f(r)h(t- r)则f(-1)h(-t)f(t)* h(t)=f(3t)*h(3t)=

55.已知y(t)=(t)* h(t)f(r)h(t- r)则f(-1)h(-t)f(t)* h(t)=f(3t)*h(3t)=

发布时间:2025-10-17 01:23:27
推荐参考答案 ( 由 快搜搜题库 官方老师解答 )
联系客服
答案:
专业技术学习
专业技术学习
搜搜题库系统