请在 下方输入 要搜索的题目:

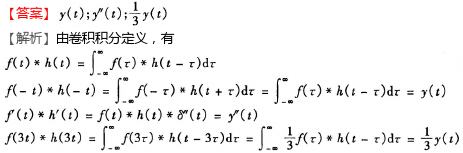
84.已知y()=f()* h()= f(r)h(t-r)dr则f(-t)*h(-tf(t) h()=f(3t)*h(3t)=

84.已知y()=f()* h()= f(r)h(t-r)dr则f(-t)*h(-tf(t) h()=f(3t)*h(3t)=

发布时间:2025-12-19 19:44:32
推荐参考答案 ( 由 快搜搜题库 官方老师解答 )
联系客服
答案:
专业技术学习
专业技术学习
搜搜题库系统